Niobium Wire

Application of Niobium Wire
Niobium and Niobium-Zirconium Wires are widely used in the manufacture of high pressure sodium lamps and electrolytic capacitor anode leads.
Niobium-Titanium alloy wires are frequently used in the superconducting industry.

Our Niobium Wire products
Western Alloys produces pure Niobium Wire, Niobium Titanium Wire, Niobium Zirconium Wire and other Niobium alloy wires.
All Niobium Wire products follow ASTM B392 standard. If you have special request, please contact us and we will find the best solution for you.
Specification of Niobium Wire
|
||||||||||||||||||
Properties of Niobium Wire and Niobium alloy wire

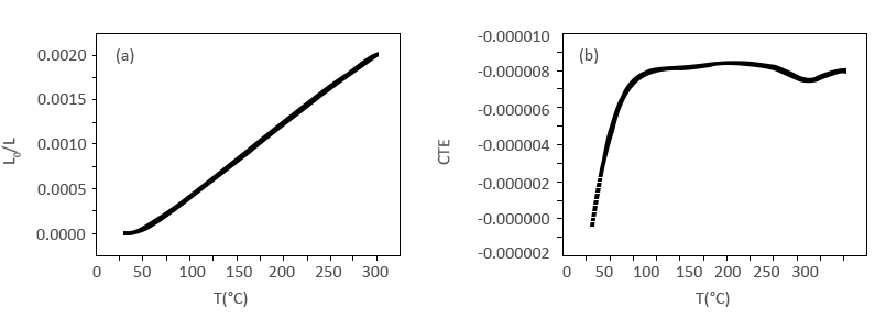
Linear thermal expansion(a) and the mean coefficient of linear thermal expansion(b) curves of Ti45Nb alloy wire

