| Mechanical properties of C103 alloy at room temperature |
| Grade |
Composition (mass fraction)% |
Modulus of elasticity/MPa |
Tensile strength/MPa |
Yield strength/MPa |
Elongation/% |
| C-103 |
10Hf-1Ti-0.7Zr |
112490 |
428.9 |
259.3 |
20 |
|
| Thermal conductivity of C103 alloy (W/(m·℃)) |
| Grade |
800℃ |
1200℃ |
| C-103 |
37.4 |
42.4 |
|

The yield strength curve of Niobium alloy with temperature rises

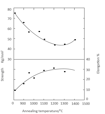
Effect of annealing temperature on properties of C103 Niobium alloy cold-rolled sheet

Effect of cold rolling rate on properties of C103 Niobium alloy sheet
Our C-103 products
If you have any inquiry for
C103 Plate/Sheet,
C103 Rod/
Wire,
C103 Tube,
C103 Parts and other kinds of products, welcome to contact our sales team.
All C-103 alloy components comply with ASTM B652, B654, AMS7852 and AMS7857 specifications. And if you have any special request, we can discuss about it.